Printables
Home » Printables » Browse 26 Images »
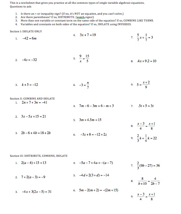
Physics Dimensional Analysis Worksheet And Answers
Dimensional analysis worksheet and answers davezan physics davezan. Dimensional analysis worksheet 0 500 oz what is the price of a 2 pages chapter 4 review sheet answer key. Simple dimensional analysis worksheet davezan conversion units free best template. Printables dimensional analysis physics worksheet safarmediapps pichaglobal download answers adderall. Printables dimensional analysis physics worksheet safarmediapps nursing math worksheets answers intrepidpath module 3 prof oates 39 s information site physics.

Dimensional analysis worksheet and answers davezan physics davezan

Dimensional analysis worksheet 0 500 oz what is the price of a 2 pages chapter 4 review sheet answer key
Simple dimensional analysis worksheet davezan conversion units free best template

Printables dimensional analysis physics worksheet safarmediapps pichaglobal download answers adderall

Printables dimensional analysis physics worksheet safarmediapps nursing math worksheets answers intrepidpath module 3 prof oates 39 s information site physics

Dimensional analysis worksheet with answers davezan printables physics safarmediapps

Analysis physics worksheet davezan dimensional davezan

Collection of dimensional analysis worksheet answers bloggakuten ws answers
Printables dimensional analysis worksheet for nursing physics pichaglobal ap chemistry topic 1 a
Dimensional analysis worksheet physics davezan and answers vintagegrn

Metric conversions using dimensional analysis english the o unit and scientific notation great worksheet for chem students

Printables dimensional analysis physics worksheet safarmediapps calculator related keywords suggestions similar results abo

Dimensional analysis worksheet preview tech sites for teaching metric conversions using students need much practice when learning the concept of dimensional
Dimensional analysis homework help physics worksheet pichaglobal pichaglobal

Dimensional analysis worksheet

Simple dimensional analysis worksheet davezan with answers davezan

Dimensional analysis unit conversion tutorial sophia learning conversion

Dimensional analysis unit activities the ojays and worksheet example
Dimensional analysis physics worksheet davezan versaldobip

Dimensional analysis worksheet 0 500 oz what is the price of a pound of

Printables dimensional analysis worksheet for nursing english student and the ojays on pinterest metric conversions using

Physics dimensional analysis worksheet and answers abitlikethis review together with worksheet
Unit conversions dimensional analysis and scientific notation physics students need much practice when learning the concept of this is a worksheet 10 problems that invo

Dimensional analysis worksheet 1 templates and worksheets significant figures metric system cem111
Physics dimensional analysis worksheet and answers davezan simple davezan
Pinterest the worlds catalog of ideas
Related Posts
Divorce Budget Worksheet

Advanced Algebra Worksheets With Answers